Introduction
This document provides a comprehensive environmental review of the land that a client of an environmental consulting firm is considering developing into a subdivision. The lithosphere, composed of the crust and the uppermost layer of the mantle, moves and behaves in a way explained by the theory of plate tectonics. The lithosphere is divided into several substantial plates that move relative to one another. As a result of this movement, several geological processes that can lead to natural disasters are triggered.
This study provides information on the types of rocks and strata and evaluates the potential danger of erosion. Moreover, stream and floodplain analysis is provided, describing the possibility of flooding. This paper outlines the tectonic characteristics of the project site, including the potential risks associated with earthquakes and the possibility of volcanic eruptions. The weather assessment, which includes any possible hazards for severe and destructive weather, comes last. This report’s foundations include topographic maps, historical information, soil stratigraphy, cross sections, and soil layers.
Basic Geology
Rock Types
The project site has a total of nine rock strata, excluding the “O”/organics layer (see Fig. 1 in Appendix). Granite (labeled “I”) is located at the bottom, and the bedrock of the location is made up of this rock, which was created when magma cooled. Schist, a metamorphic rock formed from sedimentary rocks that have endured tremendous pressure or heat, comprises the following layer, “H” (Iken Edu, 2012). Sandstone, a kind of sedimentary rock, is found in layer “G,” which is located above the layer of schist (Iken Edu, 2012). Coal (layer “F”) is above coal, an organic sedimentary rock typically derived from plant components.
Siltstone comprises layer “E” above the coal layer (Iken Edu, 2012). Siltstone is a sedimentary rock formed from sediment deposits with a grain size of silt. “D,” a coal layer, is the next layer (Iken Edu, 2012). Limestone, a sedimentary rock formed by the secretions of marine creatures, comprises Layer “C.” Layer “B,” another layer of sandstone, is situated above the limestone. Limestone makes up layer “A,” the youngest layer in the stratigraphy.
Changes in Rock Types
Each layer of silt will suffer an increase in pressure and even heat over time as it accumulates in layers. The strata alter or metamorphose as a result of this. Layer “H,” composed of the metamorphic rock schist, would serve as an illustration (Iken Edu, 2012). Moreover, there is a nonconformity where the granite layer has penetrated the younger strata up to layer “B.” This indicates when the crust was moving due to erosion and uplift.
Rock Subtypes
The project site’s cross-section features various rock subtypes, including intrusive igneous rock, schist, sandstone, siltstone, detrital sedimentary rocks, and organic, biological, or chemically deposited materials. Magma that cools and solidifies under the Earth’s surface gives rise to intrusive igneous rocks. Shale and other fine-grained sedimentary rocks undergo metamorphism to generate schist.
Detrital sedimentary rocks, such as sandstone and siltstone, are composed of fragments from older rocks that have been worn down and degraded. The aggregation and compaction of organic materials or minerals that have precipitated out of solution result in the formation of organic, biological, or chemical deposition rocks. These rocks’ unusual textures and composition are their defining characteristics. The topsoil layer “A” is composed of limestone, indicating that the area was previously exposed to water and marine species.
Implications of Stratigraphy and Rock Types
The history of the Earth and the processes that have shaped its surface over time are revealed by stratigraphy and rock types, which also shed light on the emergence of geological subdivisions and the evolution of life. Water erosion is more likely in the area due to its proximity to water channels, and the area has a history of flooding, attributed to two distinct strata of limestone (A and C).
Another crucial element in influencing the likelihood of erosion is the slope of the soil. Since water runs down steeper slopes more rapidly and with greater force than mild slopes, soil particles may get dislodged and carried downhill, making steep slopes more prone to erosion. The erosion risk may rise if the slope in the cross-section is severe.
Streams
Topographic maps (see Fig. 2 in Appendix) reveal landscape elements formed by the streaming process, including a drainage basin that feeds into the Walterville Canal, v-shaped valleys created by smaller channels, and the Walterville Reservoir, a large oxbow lake (Water Science School, 2018). These maps also depict a portion of the mainstream’s floodplain, created by downcutting, meandering, lakes, marshes, and the current flat elevation floodplain.
The valleys and land nearest to streams are the most at risk for erosion, resulting in a higher likelihood of landslides and flooding in the new area. The stream can climb an additional 10 feet, increasing the likelihood of erosion and the risk of flooding (Water Science School, 2018). This will result in a broader, flatter region encircling the streams.
Tectonics
Faults
At least one identified fault at the project site, a thrust fault, may move sedimentary strata from a few meters to more than 100 kilometers. Due to the displacement of the earth’s crust near this fault, it is more prone to earthquakes, and in the last 600 years, this region has had seven earthquakes with magnitudes of 6 or higher.
Volcanic Threats
The proposed location of the subdivision is near Mount Jefferson (see Fig.3 in Appendix). This active volcano is likely a composite volcano based on the quantity of pyroclastic debris produced by its eruptions. Volcanic explosivity index (VEI) values vary from zero (nonexplosive) to eight (mego colossal). It is possible to anticipate when the next eruption will occur, as there have been eight eruptions in the last 4,900 years, indicating a recurrence period of approximately 613 years.
Another reason to consider this factor is that volcanic eruptions can release considerable amounts of dust and other particles into the atmosphere, which can alter the Earth’s climate by reflecting sunlight into space and reducing the amount of sunlight that reaches the Earth’s surface. This can lead to changes in atmospheric circulation patterns and ocean temperatures, which, in turn, can affect the formation and intensity of hurricanes (Payne et al., 2020). Additionally, volcanic eruptions can trigger other types of natural disasters, such as landslides, tsunamis, and earthquakes, which can indirectly impact hurricane formation and intensity.
Weather
A hurricane is the most common type of storm in the region. Storm surges and tides are types of weather primarily associated with hurricanes because the warm, southern air collides with the cold, northern air. The latter generates mid-latitude cyclones, producing tornadoes, heavy rainfall, and thunderstorms. Most storms in the region that cause significant rainfall throughout the winter are nor’easters (Water Science School, 2018).
The average recurrence period of a large-magnitude precipitation event is ten years; however, utilizing more recent data from the previous 30 years, the predicted recurrence time is 3.4 years (Water Science School, 2018). This indicates that a significant precipitation event might potentially occur in the development every 3 to 10 years. The region also runs the possibility of experiencing powerful storms with heavy precipitation, which might result in floods.
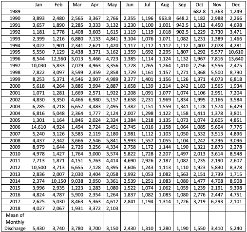
Monthly stream discharge data (see Table 6 in Appendix) indicate that the tropical climate influences the occurrence of hurricanes and storm tides in the region. The landscape is often overflooded by excessive precipitation. It is essential to note that during a hurricane, intense rainfall can cause rapid and significant increases in stream discharge, resulting in flooding and erosion. The amount of rainfall and the storm’s duration can affect the magnitude and duration of these impacts (Water Science School, 2018).
In some cases, hurricanes can also trigger landslides and debris flows, which further impact stream flow and water quality. After the hurricane has passed, stream discharge can remain elevated for days or weeks due to continued runoff from the storm and subsequent drainage from saturated soils. In addition, hurricanes can cause long-term changes to watershed conditions, such as altered topography, vegetation cover, and soil properties, which can affect stream discharge patterns over the longer term.
Conclusion
After reviewing all pertinent facts, it is fair to conclude that this region would not make a desirable location for development. Based on historical data, the property is located in a floodplain with numerous streams that may rise by approximately 10 feet. Moreover, these streams increase erosion and pose dangers to unstable ground near the site.
According to the recurrence interval, historical data also show an increased probability of large earthquakes and volcanic eruptions. According to historical climate data, this region is susceptible to powerful storms that might cause flooding due to heavy precipitation. These hazards point to the potential for several harmful occurrences in this planned development.
References
Iken Edu. (2012). Learn about the Rock Cycle | iKen | iKen Edu | iKen App [Video]. YouTube. Web.
Payne, A. E., Demory, M. E., Leung, L. R., Ramos, A. M., Shields, C. A., Rutz, J. J.,… & Ralph, F. M. (2020). Responses and impacts of atmospheric rivers to climate change. Nature Reviews Earth & Environment, 1(3), 143-157. Web.
Water Science School. (2018). Sinkholes. USGS. Web.
Appendix



Table 1 – Monthly Extreme Temperature and Precipitation Data (Period of Record: 1940–2014; Ta = oF, PPT = in.)

Table 2 – 24-Hour Highest Magnitude Precipitation Events From Last Event
Table 3 – Mount Jefferson Eruption History (VEI Rank)
Table 4 – Fault History
Table 5 – Project Site Stream Data (Period: 1905–2014)

Table 6 – Stream Discharge Data (Discharge, cubic feet per second; Monthly mean in ft3/s; Calculation period: 10/01/89 – 5/31/18)
