Introduction
When an individual observes objects glowing, whether it is sunlight streaming into a room, the radiation of a light bulb, a laser, or a lantern, the reflection of light from skyscrapers, or the glow of fireflies at night, the physical process involved is indeed somewhat more complex than mere observation. All light is only a part of a large spectrum of electromagnetic radiation, in which there is a part called visible light. For such visible light as the human retina can perceive, the wavelengths range from 400 to 700 nm, from violet to red light.
All other color combinations fall between these boundaries, and the aggregation of all colors together produces white light; this is why the dispersion of solar white light gives the division of it into its color components (Mayer & Varaksina, 2021). The retina cannot perceive other parts of this spectrum, so one cannot see the spread of infrared and ultraviolet light, nor can one see radio- and X-ray waves or radioactive radiation. In visible light alone (400-700 nm), the human eye is susceptible to the yellow-green spectrum at about 500-600 nm wavelengths; the eye is less sensitive to the other parts of the spectrum.
When energy is emitted from a heated body, there is a flux of radiation whose distribution is divided between the visible and the other parts of the spectrum. Thus, a heated incandescent light bulb is perceptible in a particular color. However, for the most part, in terms of energy propagation, it transmits in other parts of the electromagnetic spectrum, including the infrared (Lewis, 2022).
In the propagation of such radiation, science uses the term luminous flux Φ, which characterizes the total amount of light energy transmitted through a surface per unit of time. Higher values of such flux correspond to more powerful light. Quantitatively, the luminous flux can be defined through lumens and the solid angle at which the light propagates. If the propagation of the luminous flux is standard, the value of the solid angle is 4π, and the following formula determines the total value of the flux (lumen):
Φ=4π∙I
Dividing this flux by the power factor gives the value of luminous efficiency [lumen W-1], namely:
LE=Φ/P=(4π∙I)/P
Propagation of such luminous flux in space from a point source — for example, a light bulb — can be seen as propagating waves, which at any point in space fall on spherical half-planes with area A=4πR^2. Accordingly, the power of luminous flux divided by the area allows us to obtain the value of specific luminous flux or, more precisely, the illuminance [lumen m-2]:
E=Φ/A=Φ/(4πR^2)
If a plane in the path of light propagation is located at an angle to the optical axis, the illuminance of such a plane decreases in comparison to the one located perpendicularly; therefore, the more the plane is inclined, the less illuminance it has (Bobrowsky, 2020). At the same time, when two-point light sources work together, their luminous intensities are proportional to each other through the distance coefficients between them, namely:
Experiment
In the present work, the experiment is performed on an optical setup, the scheme of which is shown in Fig. 1. Two bulbs, one of which is a standard bulb and the other is a test bulb, are set at a sufficiently large distance from each other on the same axis. The test bulb is mounted at a distance of 64 cm from the vertical optical axis of observation (R2), and the distance R1 is adjusted so that the illuminance produced by the two sources is equal. For this purpose, a photometer head is placed between the two bulbs, which directs the rays from both bulbs directly onto a screen that allows the illuminance of the object to be compared. A star drawn on paper is used as an object for examination: the illuminance will be considered the same when the perceived colors of the flower itself and the paper background on which it is drawn are the same.

Luminous Intensity of the Control Lamp
In this experiment, both lamps’ voltages were known at the same level. The measurable part of this activity was to determine the distances such that the luminous intensity of the star lamp was the same as that of the test lamp.
Checking the Law of Inverse Squares
As said before, from a point light source, the radiation propagates on spherical planes, and the luminosity of such a plane is a function of the radius, as follows from equation (3). As the plane in question gets farther away from the light source, that is, as the radius increases, the illuminance falls with accelerated force due to the square. Two lamps of known luminous intensity are placed near the screen in this experiment. The problem is determining the distance value for a standard lamp that operates under conditions of equal illuminance.
Luminous Intensity and Efficiency from Voltage
In this exercise for bulbs, the values of power consumption and luminous intensity have to be measured as a function of the wattage of the bulbs chosen. The connection was chosen in series; the wattages were 25, 40, 60, and 75 W. The desired values were calculated for each bulb voltage option, and then dependency plots were plotted to examine the relationship between the variables.
Results
For each of the four bulbs of different wattages, the corresponding voltages under the given conditions of the second standard bulb were measured, and the distances between them at which the maximum uniform illuminance was achieved. The results of the direct measurements are shown in Table 1. For almost all tests (except the 75 W bulb), the voltage of the standard bulb was used as 120 V and 130 V for the maximum wattage bulb, as shown in table 1 (Appendix).
Equation (4) had to be used to calculate the luminous intensities to obtain the intensity value for the second bulb, I2. The calculation of the luminous intensities for the first bulb (25, 40, 60, and 75 W), whose values were necessary to calculate the other intensities, is shown in equations (5)-(8).

Table 2 (Appendix) shows the results of calculations of luminous intensities as a function of distance for each of the five tests for four bulbs using the values from equations (5)-(8). Equation (9) shows an example of the calculations for the first bulb using a 25 W bulb.

To calculate the luminous efficiency in each test, Eqn (2) was used, and the power P was given through voltages and currents for a particular bulb. An example calculation of one of these powers for the first test for a 25 W bulb is shown in equation (10). Table 3 (Appendix) summarizes the results of the luminous efficiency calculations for each test.
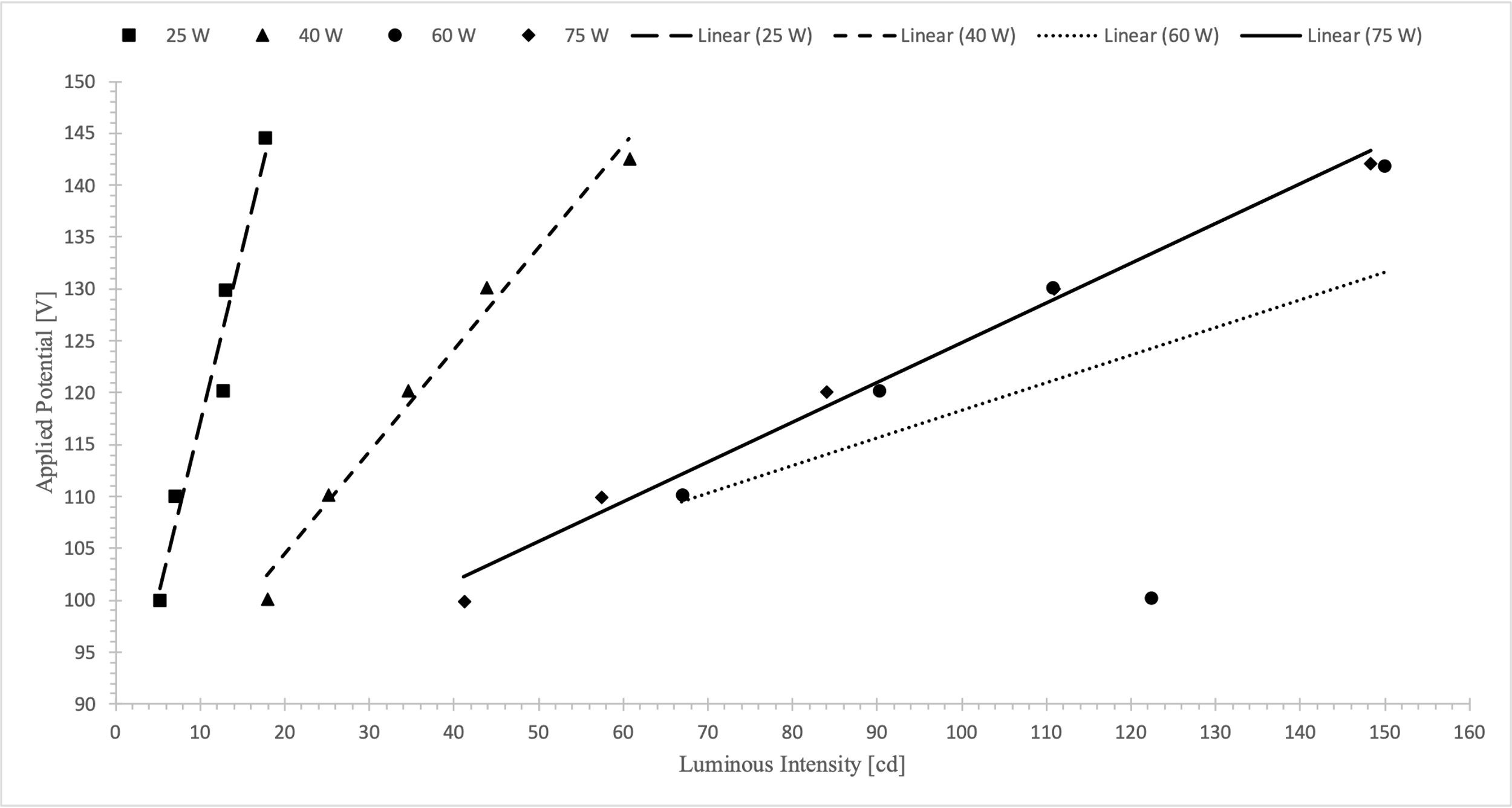
The dependence of the applied potential (voltage) on the luminous intensity for the four different wattages of the bulbs was plotted on a scatter plot, shown in Figure 2. From this graphical representation, one can see that, generally, a linear relationship between the variables is observed, but the slope of such straight lines differs. In particular, the more power of the lamp was chosen, the smoother this slope is, that is, the rate of growth of the applied voltage as the luminous intensity increases decreases.
![The applied potential [V] depends on the luminous intensity [cd].](https://ivypanda.com/essays/wp-content/uploads/2026/03/397748_6.png)
The scatter plot (Fig. 3) also plots the dependence of the applied potential on the luminous efficiency for each test. The graph shows that there is also a positive upward trend between the variables. However, there is a noticeable deviation for the 60 W bulb, probably caused by mistakenly taking voltage measurements. Otherwise, the higher the bulb’s wattage, the slower the increase in applied potential decreases, as in the case of luminous intensity.
![The applied potential [V] depends on the luminous efficiency [lumen W-1].](https://ivypanda.com/essays/wp-content/uploads/2026/03/397748_7.png)
Discussion
The present work investigated the relationship between the applied voltage as a function of luminous efficiency and intensity in a two-bulb experiment. The observation was conducted under the condition that the illuminance from the two bulbs reached its maximum, which was indicated by the level of the star on the screen in the photometric setup. The results of this study demonstrated that the dependence was linear in most cases, and with the increasing power of the bulb, the slope of such straight lines (except for the cases of errors and mistakes) decreased. It follows directly from this that for the more powerful bulbs, whose current transfer rate is higher, there was a slower increase in voltage with an increase in luminous intensity and efficiency.
At the same time, the highest values of intensity and efficiency were observed at the maximum levels of applied voltage. This is logical because the higher voltage corresponded to a greater amount of current transmitted to the lamp, which increased the heating effect of the metal filament and therefore increased its luminosity. Increasing the luminous intensity also makes sense since more power responds to a higher voltage transfer to the bulb, which means more light reaches the retina when the power is increased, but higher energy costs are observed.
The calculations of this study were based on the assumption that a standard 40 W bulb had a luminous efficiency of 12 lumens/W. This value depends on exactly how such a bulb was constructed. For example, a standard 40 W incandescent bulb has a luminous efficiency of about 12.75 lumens W. However, a fluorescent bulb of the same type has an efficiency of about 4.5 times higher, which is 58 lumens W (Lewis, 2022). Using an LED bulb increases this value to 75 lumens per watt. These results should be read as follows: the higher the luminous efficiency of a bulb, the more light it can produce with the energy input, which is what one should aim for to increase the luminous intensity of a room. Accordingly, LED bulbs are the most profitable, about six times more efficient than incandescent bulbs. The corresponding pattern also applies to bulbs of different types and other wattages.
Finally, if solar cells were used instead of photometric cells, this experiment would have changed the optical setup by adding two ammeter cells. Each lamp would require a different solar cell connected to the ammeter, allowing a more sensitive signal to be collected by capturing more light. This parallels the changing of the annual seasons, winter and summer. In winter, the planet is at a shallower angle to the Sun; thus, less light is observed (Bobrowsky, 2020). In summer, however, the angle of the Earth’s axis to the Sun’s rays is greater, meaning more light hits the planet and warmer weather is observed. Solar panels would keep the angle maximal, collecting information about more incoming light.
Conclusions
This research paper studied the photometric patterns of the dependencies between applied voltage, luminous intensity, and efficiency. The main conclusion was that as the applied voltage increased, the intensity and efficiency also increased, but a more significant energy consumption was also observed for these lamps. Consequently, this works as a trade-off, in which increasing the light in the room for incandescent bulbs also requires more energy consumption; using LED bulbs is a better investment. This is why 40 W bulbs are the best, giving slightly less light than more powerful bulbs but saving more energy.
References
Bobrowsky, M. (2020). Q: What are some astronomical concepts that we can teach using a globe or model of the Earth [PDF document].
Lewis, B. (2022). How to calculate lumens per watt. The Spruce.
Mayer, V. V., & Varaksina, E. I. (2021). Normal light dispersion in laboratory experiments. Physics Education, 57(1), 1-9.
Appendixes
Table 1. Results of direct measurements of distances, , and voltages for four test bulbs.
Table 2. Values of luminous intensities for each of the bulbs.
Table 3. Results of luminous efficiency calculations for each test.